INSTRUÇÃO TÉCNICA Nº 22/2025

(Aprovado pela Portaria n° 673, de 05/09/2025, a partir de 06/11/2025)

Sistemas de hidrantes e de mangotinhos para combate a incêndio

SUMÁRIO

1 Objetivo

2 Aplicação

3 Referências normativas e bibliográficas

4 Definições

5 Procedimentos

ANEXOS

A Sistema de mangotinho com válvula globo angular na prumada

B Reservatórios

C Bombas de incêndio

D Abrigos de mangueiras e mangotinhos

E Casos de isenção de sistema fixo de hidrantes e de mangotinhos

1 OBJETIVO

1.1 Fixar parâmetros para dimensionamento, instalação, manutenção, aceitação e manuseio, bem como as características, dos componentes de sistemas de hidrantes e/ou de mangotinhos para uso exclusivo no combate a incêndio em edificações.

2 APLICAÇÃO

2.1 Esta Instrução Técnica (IT) aplica-se às edificações em que seja necessária a instalação de sistemas de hidrantes e/ou de mangotinhos para combate a incêndio, de acordo com o previsto no Regulamento de segurança contra incêndio das edificações e áreas de risco do Estado do Rio Grande do Norte.

3 REFERÊNCIASNORMATIVAS E BIBLIOGRÁFICAS

Instrução Técnica nº 22/19 do Corpo de Bombeiros da Polícia Militar do Estado de São Paulo.

ASSOCIAÇÃO BRASILEIRA DE NORMAS TÉCNICAS (ABNT). NBR 5410 Instalações elétricas de baixa tensão. Rio de Janeiro: ABNT;

. NBR 5580 Tubos de aço-carbono usos comuns na condução de fluídos – Especificação. Rio de Janeiro: ABNT;

. NBR 5587 Tubos de aço para condução, com rosca

ANSI/ASME B1.20.1 – Dimensões básicas – Padronização. Rio de Janeiro: ABNT;

. NBR 10351 Conexões injetadas de PVC rígido conjunta elástica para redes e adutoras de água – Especificação. Rio de Janeiro: ABNT;

. NBR 10897 Sistema de proteção contra incêndio por chuveiros automáticos – Requisitos. Rio de Janeiro: ABNT;

. NBR 11720 Conexões para união de tubos de cobre por soldagem ou brasagem capilar – Especificações. Rio de Janeiro: ABNT;

. NBR 11861 Mangueira de incêndio – Requisitos e métodos de ensaio. Rio de Janeiro: ABNT;

. NBR 12779 Mangueiras de incêndio – Inspeção, manutenção e cuidados. Rio de Janeiro: ABNT;

. NBR 12912 Rosca NPT para tubos – Dimensões Padronização. Rio de Janeiro: ABNT;

. NBR 13206 Tubo de cobre leve, médio e pesado sem costura, para condução de fluídos - Requisitos. Rio de Janeiro: ABNT;

. NBR 13434-1 Sinalização de segurança contra incêndio e pânico – Parte 1: Princípios de projeto. Rio de Janeiro: ABNT;

. NBR 13434-2 Sinalização de segurança contra de incêndio e pânico – Parte 2: Símbolos e suas formas, dimensões e cores. Rio de Janeiro: ABNT;

. NBR 5590 Tubo de aço-carbono com ou sem solda longitudinal, pretos ou galvanizados – Requisitos. Rio de Janeiro: ABNT;

. NBR 5626 Instalação predial de água fria. Rio de Janeiro: ABNT;

. NBR 5647-1 Sistemas para adução e distribuição de água – Tubos e conexões de PVC 6,3 com junta elástica e com diâmetros nominais até DN 100 – Parte 1: Requisitos gerais. Rio de Janeiro: ABNT;

. NBR 5647-2 Sistemas para adução e distribuição de água – Tubos e conexões de PVC 6,3 com junta elástica e com diâmetros nominais até DN 100 – Parte 2: Requisitos específicos para tubos com pressão nominal PN 1,0 MPa. Rio de Janeiro: ABNT;

. NBR 5647-3 Sistemas para adução e distribuição de água – Tubos e conexões de PVC 6,3 com junta elástica e com diâmetros nominais até DN 100 – Parte 3: Requisitos específicos para tubos com pressão nominal PN0,75 MPa. Rio de Janeiro: ABNT;

. NBR 5647-4 Sistemas para adução e distribuição de água – Tubos e conexões de PVC 6,3 com junta elástica e com diâmetros nominais até DN 100 – Parte 4: Requisitos específicos para tubos com pressão nominal PN0,60 MPa. Rio de Janeiro: ABNT;

. NBR 5667 Hidrantes urbanos de incêndio de ferro fundido dúctil. 3 Partes – Especificações. Rio de Janeiro: ABNT;

. NBR 6414 Rosca para tubos onde a vedação é feita pela rosca – Designação, dimensões e tolerâncias – Padronização. Rio de Janeiro: ABNT;

. NBR 6925 Conexão de ferro fundido maleável, de classes 150 e 300, com rosca NPT, para tubulação. Rio de Janeiro: ABNT;

. NBR 6943 Conexão de ferro fundido maleável, com rosca ABNT NBR NM ISSO 7-1, para tubulações. Rio de Janeiro: ABNT;

. NBR 13714 Sistemas de hidrantes e de mangotinhos para combate a incêndio. Rio de Janeiro: ABNT;

. NBR 14105 Medidores de pressão. Rio de Janeiro: ABNT;

. NBR 14276 Brigada de incêndio - Requisitos. Rio de Janeiro: ABNT;

. NBR 14349 União para mangueira de incêndio – Requisitos e métodos de ensaio. Rio de Janeiro: ABNT;

. NBR 14870 Esguicho para combate a incêndio – Parte 1 – Esguicho básico de jato regulável. Rio de Janeiro: ABNT;

. NBR 15561 Tubulação de polietileno PE 80 e PE 100 para transporte de água e esgoto sob pressão — requisitos. Rio de Janeiro: ABNT;

. NBR 15593 Sistemas enterrados para distribuição e adução de água e transporte de esgotos sob pressão – Requisitos para conexões soldáveis de polietileno PE 80 e PE 100. Rio de Janeiro: ABNT;

. NBR 15802 Sistemas enterrados para distribuição e adução de água e transporte de esgotos sob pressão – Requisitos para projetos em tubulação de polietileno PE 80 e PE 100 de diâmetro externo nominal entre 63 mm e 1600 mm. Rio de Janeiro: ABNT;

. NBR 15803 Sistemas enterrados para distribuição e adução de água e transporte de esgoto sob pressão – Requisitos para conexões de compressão para junta mecânica, de serviço e de ligação para tubulação de polietileno de diâmetro externo nominal entre 20 mm e 160 mm. Rio de Janeiro: ABNT;

. NBR 15950 Sistemas para distribuição e adução de água e transporte de esgotos sob pressão - Requisitos para instalação de tubulação de polietileno PE 80 e PE 100. Rio de Janeiro: ABNT;

. NBR 15952 Sistemas para redes de distribuição e adução de água e transporte de esgotos sob pressão – Verificação da estanqueidade hidrostática em tubulações de polietileno. Rio de Janeiro: ABNT;

. NBR 15979 Sistemas para distribuição e adução de água e transporte de esgotos sob pressão - Requisitos para reparo de tubulação de polietileno PE 80 e PE 100. Rio de Janeiro: ABNT;

. NBR 16021 Válvula e acessórios para hidrante – requisitos e métodos de ensaio. Rio de Janeiro: ABNT;

. NBR 16642 Conjunto de mangueira semirrígida e acessórios para incêndio. Rio de Janeiro: ABNT;

. NBR NM ISO 7-1 Rosca para tubos onde a junta de vedação sob pressão é feita pela rosca – Parte 1 – Dimensões, tolerâncias e designação. Rio de Janeiro: ABNT;

ISO 1182 – Building materials – non-combustibility test. ANSI/ASME B1.20.7 NH – Hose coupling screw threads.

ASTM A 234 – Specification for piping fitting wrought carbon steel and alloy steel for moderate and elevate temperature.

ASTM B 30 – Specification for copper-base alloys in ingotform.

ASTM B 62 – Specification for composition bronze or ouncemetal castings.

ASTM B 584 – Standard specification for copper alloy sand castings for general applications.

ASTM D 2000 – Classification system for rubber products in automotive applications.

AWS A5.8 – Brazing filler metal (Classifications Bcup-3 orBcup-4).

BS 5041 Part 1 – Specification for landing valves for wetrisers.

BRENTANO, Telmo. Instalações Hidráulicas de Combate a incêndios nas Edificações – 5ª ed. – Porto Alegre: EDIPUCRS, 2007.

CREDER, Hélio. Instalações Hidráulicas e Sanitárias. – 6ª ed. - Rio de Janeiro: Livros Técnicos e Científicos Editora S.A.,2.006.

MACINTYRE, Archibald Joseph. Instalações hidráulicas prediais e industriais – 4ª ed. – Rio de Janeiro: Livros Técnicos e Científicos Editora S.A., 2.010.

MACINTYRE, Archibald Joseph. Bombas e Instalações de Bombeamento – 2ª ed. - Rio de Janeiro: Livros Técnicos e Científicos Editora S. A., 1.997.

HICKEY, Harry E. Hydraulics for Fire Protection.Boston: NFPA, 1980.

NFPA. Fire Protection Engineering – 2 ed. Boston, 1.995.

4 DEFINIÇÕES

4.1 Para efeito desta Instrução Técnica, aplicam-se as definições constantes da IT 03 – Terminologia de segurança contra incêndio.

5 PROCEDIMENTOS

5.1 Requisitos gerais

5.1.1 Os sistemas de combate a incêndio estão classificados em sistema tipo 1 (mangotinho) e sistemas tipo 2, 3, 4 e 5 (hidrantes), conforme especificado na tabela 2.

5.1.2 Todos os parâmetros, ábacos, tabelas e outros recursos utilizados no projeto e no dimensionamento devem ser relacionados no memorial. Não é admitida a referência a outro projeto para justificar a aplicação de qualquer informação no memorial.

5.1.3 O manuseio do sistema deve ser feito por pessoal devidamente habilitado e treinado de acordo com a IT 17 – Brigada de incêndio, bombeiro civil, ou integrante do Corpo de Bombeiros do Estado do Rio Grande do Norte (CBMRN) em caso de incêndios e emergências.

5.2 Projeto

5.2.1 O sistema a ser instalado deve corresponder a um memorial, constando cálculos, dimensionamentos e uma perspectiva isométrica da tubulação (sem escala, com cotas e com os hidrantes numerados), conforme prescrito na IT 01 – Parte II.

5.2.2 O Corpo de Bombeiros Militar pode solicitar documentos relativos ao sistema, se houver necessidade.

5.2.3 Critérios básicos de projeto

5.2.3.1 O projeto de um sistema de hidrantes e mangotinhos é definido de acordo com a aplicabilidade do sistema, conforme estabelecido na Tabela 3, em função da área construída e da ocupação.

5.3 Recalque para o Corpo de Bombeiros Militar

5.3.1 Todos os sistemas devem ser dotados de dispositivo de recalque para uso do Corpo de Bombeiros Militar, consistindo de um prolongamento de mesmo diâmetro da tubulação principal, cujos engates sejam compatíveis com os usados pelo Corpo de Bombeiros Militar.

5.3.2 O dispositivo de recalque deve ser do tipo coluna instalado na fachada ou dentro de um abrigo embutido no muro, conforme Figura 1. Onde houver impossibilidade técnica comprovada o dispositivo de recalque pode ser instalado no passeio público.

5.3.3 Para os sistemas com vazão superior a 1.000 L/min deve haver duas entradas para o recalque de água por meio de veículo de combate a incêndio do Corpo de Bombeiros Militar.

5.3.4 O dispositivo de recalque deve ser instalado na fachada principal da edificação, ou no muro da divisa com a rua, com a introdução voltada para a rua e para baixo em um ângulo de 45º e a uma altura entre 0,60 m e 1,50 m em relação ao piso do passeio da propriedade. A localização do dispositivo de recalque sempre deve permitir aproximação da viatura apropriada para o recalque da água, a partir do logradouro público, para o livre acesso dos bombeiros.

5.3.4.1 Para dispositivo de recalque localizado no interior da propriedade, o arruamento interno até o seu acesso deve atender ao que estabelece a IT 06, independentemente da sua ocupação.

5.3.5 Para a proteção do dispositivo de recalque contra atos de vandalismo, a junta de união tipo engate rápido pode ser.

5.4 Abrigo

5.4.1 Os abrigos de mangueiras devem atender aos parâmetros do Anexo D.

5.4.2 As mangueiras de incêndio devem ser acondicionadas dentro dos abrigos, em ziguezague ou aduchadas, sendo que as mangueiras de incêndio semirrígidas devem ser acondicionadas em carretéis axiais, permitindo a sua utilização com facilidade e rapidez.

5.4.3 As mangueiras de incêndio dos hidrantes internos podem ser acondicionadas, alternativamente, em ziguezague, por meio de suportes tipo “rack”, com acoplamento tipo “engate rápido” nas válvulas dos hidrantes, conforme Figura 2.

5.4.4 O abrigo deve ter utilização exclusiva conforme estabelecido nesta IT.

5.5 Válvulas para hidrantes ou mangotinhos

5.5.1 As válvulas para hidrantes devem ser do tipo globo angulares de diâmetro DN65 (2 ½”).

5.5.1.1 As válvulas globo angulares devem ser de diâmetro DN50 (2”) para sistemas tipo 1 e 2 quando for adotada tubulação com esse diâmetro.

5.5.2 As válvulas para hidrantes com saída oblíqua ou com saída reta devem possuir junta de união do tipo engate rápido, compatível com as mangueiras usadas pelo Corpo de Bombeiros Militar.

5.5.3 As válvulas para mangotinhos devem ser do tipo esfera (abertura rápida), de passagem plena e diâmetro mínimo DN25(1”) atendendo às condições da NBR 16642.

5.6 Requisitos específicos

5.6.1 Tipos de sistemas

5.6.1.1 Os tipos de sistemas previstos são dados na Tabela 2.

5.6.1.2 As vazões da Tabela 2 devem ser obtidas na saída das válvulas para hidrantes, considerando os mais desfavoráveis hidraulicamente.

5.6.1.3 A edificação onde for instalado o sistema do Tipo 1 (mangotinho) deve ser dotada de ponto de tomada de água de engate rápido para mangueira de incêndio de diâmetro 40 mm(1½”), conforme Anexo A.

5.6.1.4 Para cada ponto de hidrante ou de mangotinho são obrigatórios os materiais descritos na Tabela 4.

5.7 Distribuição dos hidrantes e ou mangotinhos

5.7.1 Os pontos de tomada de água devem ser posicionados:

5.7.1.1 nas proximidades das portas externas, escadas e/ou acesso principal a ser protegido, a não mais de 5 m;

5.7.1.2 em posições centrais nas áreas protegidas, devendo atender ao item “5.7.1.1” obrigatoriamente;

5.7.1.3 fora das escadas ou antecâmaras de fumaça;

5.7.1.4 de 1,0 m a 1,5 m do piso.

5.7.2 No caso de projetos utilizando hidrantes externos, devem atender ao afastamento de, no mínimo, uma vez e meia a altura da parede externa da edificação a ser protegida, podendo ser utilizados até 60 m de mangueira de incêndio (preferencialmente em lances de 15 m), desde que devidamente dimensionados por cálculo hidráulico. Recomenda-se, neste caso, que sejam utilizadas mangueiras de incêndio de diâmetro DN65 para redução da perda de carga e o último lance de DN40 para facilitar seu manuseio, prevendo-se uma redução de mangueira de DN65 para DN40.

5.7.3 A utilização do sistema não deve comprometer a fuga dos ocupantes da edificação, portanto, deve ser projetado de tal forma que dê proteção em toda a edificação, sem que haja a necessidade de adentrar às escadas, antecâmaras ou outros locais determinados exclusivamente para servirem de rota de fuga dos ocupantes.

5.8 Dimensionamento do sistema

5.8.1 O dimensionamento deve consistir na determinação do caminhamento das tubulações, dos diâmetros dos acessórios e dos suportes, necessários e suficientes para garantir o funcionamento dos sistemas previstos nesta IT.

5.8.2 Os hidrantes ou mangotinhos devem ser distribuídos de tal forma que qualquer ponto da área a ser protegida seja alcançado por um esguicho (sistemas tipo 1, 2, 3, ou 4) ou dois esguichos (sistema tipo 5), considerando-se o comprimento da(s) mangueira(s) de incêndio por meio de seu trajeto real e o alcance mínimo do jato de água igual a 10 m, devendo ter contato visual sem barreiras físicas a qualquer parte do ambiente, após adentrar pelo menos 1 m em qualquer compartimento.

5.8.3 No dimensionamento de sistemas com mais de um hidrante simples deve ser considerado o uso simultâneo dos dois jatos de água mais desfavoráveis considerados nos cálculos, para qualquer tipo de sistema especificado, considerando-se, em cada jato de água, no mínimo as vazões obtidas conforme a Tabela 2 e condições do item 5.6.1.2.

5.8.3.1 Caso as duas expedições que possuam os dois jatos de água mais desfavoráveis sejam de 1 (um) hidrante duplo, estes dois pontos deverão ser considerados para efeito de cálculo.

5.8.4 O local mais desfavorável considerado nos cálculos deve ser aquele que proporciona menor pressão dinâmica na saída do hidrante.

5.8.5 O dimensionamento do sistema de hidrantes em edificações com ocupações mistas, pode ser de forma independente ou único, deve atender aos seguintes requisitos:

5.8.5.1 Sistemas independentes devem ser dimensionados em função de cada ocupação, somente em edificações térreas e com compartimentação entre as edificações mistas:

5.8.5.1.1 As reservas de incêndio devem ser dimensionadas considerando as áreas de cada ocupação;

5.8.5.1.2 O tipo de sistema deve ser dimensionado considerando cada ocupação.

5.8.5.2 Sistema único de hidrantes deve atender aos seguintes requisitos:

5.8.5.2.1 A reserva de incêndio deve ser dimensionada considerando a área total da edificação e o risco predominante;

5.8.5.2.2 O tipo de sistema deve ser dimensionado em função de cada ocupação;

5.8.5.2.3 Para o dimensionamento da bomba de incêndio, deve ser apresentado o memorial de cálculo hidráulico dos dois hidrantes mais desfavoráveis por ocupação, sendo que a bomba de incêndio deve atender os maiores valores de pressão e vazão.

5.8.5.3 O emprego dos sistemas de hidrantes independente e único em edificações mistas se dá conforme o Quadro 1:

Nota Específica: 1) Desde que as ocupações mistas estejam compartimentadas, conforme o item 5.8.5.1.

5.8.6 O sistema único de hidrantes em edificações com isolamento de risco deve ser dimensionado em função de cada área e ocupação. Deve ser adotada a maior reserva de incêndio requerida e a condição mais rigorosa referente à vazão e pressão da bomba de incêndio.

5.8.7 O sistema de hidrantes em edificações com risco subsidiário deve ser dimensionado em função da ocupação predominante, considerando a área total da edificação para a definição do volume da reserva de incêndio.

5.8.8 O sistema deve ser dimensionado de forma que a pressão máxima de trabalho nos esguichos não ultrapasse 100mca (1.000 kPa).

5.8.9 Poderão ser adotados para o dimensionamento do sistema de hidrantes e mangotinhos, além dos valores estipulados na Tabela 2, também, a critério do projetista, o dimensionamento completo do sistema, considerando-se todas as perdas de carga, tendo como premissas as vazões indicadas na Tabela 2, bem como as pressões

necessárias para que os jatos d’água atinjam a distância mínima de 10 m lineares com o esguicho posicionado à uma altura máxima de 1,20m em paralelo com o solo (formando com este um ângulo de 0°). Neste caso será necessária a apresentação das características técnicas dos esguichos utilizados no dimensionamento, por meio do catálogo técnico do fabricante e as demonstrações dos cálculos realizados para os equipamentos, devendo ser devidamente conferidos em vistoria de regularização, conforme apresentados no projeto.

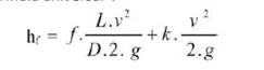
5.8.10 O cálculo hidráulico da somatória de perda de carga nas tubulações deve ser executado por métodos adequados para este fim, sendo que os resultados alcançados têm que satisfazer a uma das seguintes equações apresentadas:

5.8.10.1 Darcy-Weisbach – fórmula geral para perdas de carga localizadas, “fórmula universal”:

Onde:

hf é a perda de carga, em metros de coluna d’água;

f é o fator de atrito (diagramas de Moody e Hunter Rouse);

L é o comprimento da tubulação (tubos), em metros;

D é o diâmetro interno, em metros;

v é a velocidade do fluído, em metros por segundo;

g é a aceleração da gravidade em metros por segundo, por segundo;

k é a somatória dos coeficientes de perda de carga das singularidades (conexões).

5.8.10.2 Hazen-Williams:

Onde:

hf é a perda de carga em metros de coluna d’água;

Lt é o comprimento total, sendo a soma dos comprimentos da tubulação e dos comprimentos equivalentes das conexões;

J é a perda de carga por atrito em metros por metros;

Q é a vazão, em litros por minuto;

C é o fator de Hazem Willians (ver Tabela 1);

D é o diâmetro interno do tubo em milímetros.

5.8.11 A velocidade da água no tubo de sucção das bombas de incêndio não deve ser superior a 2 m/s (sucção negativa) ou 3m/s (sucção positiva), a qual deve ser calculada pela equação:

Onde:

v é a velocidade da água, em metros por segundo;

Q é a vazão de água, em metros cúbicos por segundo;

A é a área interna da tubulação, em metros quadrados.

Nota: Para o cálculo da área deve ser considerado o diâmetro interno da tubulação.

5.8.12 A velocidade máxima da água na tubulação não deve ser superior a 5 m/s, a qual deve ser calculada conforme equação indicada em 5.8.11.

5.8.13 No sistema de malha ou anel fechado, deve existir válvulas de paragem, localizadas de tal maneira que, pelo menos dois lados em uma malha que envolva quadras de processamento ou armazenamento, possam ficar em operação, no caso de rompimento ou bloqueio dos outros dois.

5.8.14 Para efeito de equilíbrio de pressão no ponto de derivação da vazão total, em direção às válvulas dos dois hidrantes mais desfavoráveis, é admitida a variação máxima de 0,50 mca (5,0 kPa).

5.8.15 Nos casos de bombas de incêndio consideradas na condição de sucção negativa, item C.1.12 desta IT, deve ser calculado o net positive suction head (NPSH). Este deve ser maior ou igual ao NPSH requerido pela bomba de incêndio. Para cálculo do NPSH disponível na tubulação de sucção deve-se considerar 1,5 vezes a vazão nominal do sistema.

5.9 Reservatório e reserva técnica de incêndio

5.9.1 O volume de água da reserva de incêndio encontra-se na Tabela 3.

5.9.2 Pode ser admitida a alimentação de outros sistemas de proteção contra incêndio, sob comando ou automáticos, por meio da interligação das tubulações dos reservatórios, desde que atenda aos parâmetros da IT 23 - Sistema de chuveiros automáticos.

5.9.3 Deve ser previsto reservatório construído conforme o Anexo B.

5.9.4 O inibidor de vórtice e o poço de sucção para reservatório elevado deve ser conforme o Anexo B.

5.9.5 O reservatório que também acumula água para consumo normal da edificação deve ser adequado para preservar a qualidade da água.

5.9.6 As águas provenientes de fontes naturais tais como: lagos, rios, açudes etc., devem ser captadas conforme descrito no Anexo B.

5.9.7 O reservatório pode ser subdividido desde que todas as unidades estejam interligadas diretamente à tubulação de sucção da bomba de incêndio e tenha subdivisões em unidades mínimas de 3 m³.

5.9.8 Não é permitida a utilização da reserva de incêndio pelo emprego conjugado de reservatórios subterrâneos ou ao nível do piso térreo e elevados. Os reservatórios devem ser dotados de meios que assegurem uma reserva efetiva e ofereçam condições seguras para inspeção.

5.9.9 Para edificações de risco alto, recomenda-se que os reservatórios sejam elevados e possuam fácil acesso para abastecimento de veículos de combate a incêndio, com vistas a suprir eventual falha da bomba de incêndio da edificação.

5.10 Bombas de incêndio

5.10.1 A bomba de incêndio deve ser do tipo centrífuga acionada por motor elétrico ou combustão.

5.10.2 As prescrições e recomendações encontram-se no Anexo C.

5.10.3 No caso de edificações com ocupações mistas e com uma bomba de incêndio principal, deve ser feito o dimensionamento da vazão da bomba e do reservatório para o maior risco (conforme item 5.8.5), sendo que os esguichos e mangueiras podem ser previstos de acordo com os riscos específicos. A altura manométrica total da bomba deve ser calculada para os dois hidrantes mais desfavoráveis do sistema.

5.11 Componentes das instalações

5.11.1 Geral

5.11.1.1 Os componentes das instalações devem ser previstos em normas, conforme aquelas descritas no item 3 desta IT, ou em especificações reconhecidas e aceitas pelos órgãos oficiais.

5.11.1.2 Os componentes que não satisfaçam a todas as especificações das normas existentes ou às exigências dos órgãos competentes e entidades envolvidas devem ser submetidos a ensaios e verificações, a fim de obterem aceitação formal da utilização nas condições específicas da instalação, expedida pelos órgãos competentes.

5.11.2 Esguichos

5.11.2.1 Estes dispositivos são para lançamento de água através de mangueiras, sendo reguláveis, possibilitando a emissão do jato compacto ou neblina.

5.11.2.2 Cada esguicho instalado deve ser adequado aos valores de pressão, vazão de água e de alcance de jato, para proporcionar o seu perfeito funcionamento, conforme dados do fabricante.

5.11.2.3 O alcance do jato para esguicho regulável, produzido por qualquer sistema adotado conforme a Tabela 2, não deve ser inferior a 10 m, medido da saída do esguicho ao ponto de queda do jato, com o jato paralelo ao solo e com o esguicho regulado para jato compacto.

5.11.2.4 Os componentes de vedação devem ser em borracha, quando necessários, recomendando-se a norma ASMT D 2000.

5.11.2.5 O acionador do esguicho regulável deve permitir a modulação da conformação do jato e o fechamento total do fluxo.

5.11.3 Mangueira de incêndio

5.11.3.1 O comprimento total das mangueiras que servem cada saída a um ponto de hidrante ou mangotinho deve ser suficiente para vencer todos os desvios e obstáculos que existem, considerando também toda a influência que a ocupação final é capaz de exercer, não excedendo os comprimentos máximos estabelecidos na Tabela 2. Para sistemas de hidrantes, deve-se preferencialmente utilizar lances de mangueiras de 15 m.

5.11.4 Juntas de união

5.11.4.1 As juntas de união rosca/engate rápido devem ser compatíveis com os utilizados nas mangueiras de incêndio.

5.11.5 Válvulas

5.11.5.1 É recomendada a instalação de válvulas de bloqueio adequadamente posicionadas, com objetivo de proporcionar manutenção em trechos da tubulação sem desativação do sistema.

5.11.5.2 As válvulas de bloqueio podem ser do tipo gaveta ou gaveta de haste ascendente (OS&Y) ou borboleta com indicação de posição.

5.11.5.3 As válvulas que comprometem o abastecimento de água a qualquer ponto do sistema, quando estiverem em posição fechada, devem ser do tipo indicadoras. Recomenda- se a utilização de dispositivos de travamento para manter as válvulas na posição aberta.

5.11.5.4 Quando as válvulas mencionadas no item anterior estiverem em ambientes com acesso restrito, dispensa-se os dispositivos de travamento.

5.11.6 Tubulações e conexões

5.11.6.1 A tubulação do sistema não deve ter diâmetro nominal inferior a DN65 (2 ½”).

5.11.6.2 Para sistemas tipo 1 ou 2 pode ser utilizada tubulação com diâmetro nominal DN50 (2”).

5.11.6.3 Os drenos, recursos para simulação e ensaios, escorvas e outros dispositivos devem ser dimensionados conforme a aplicação.

5.11.6.4 As tubulações aparentes do sistema devem ser em cor vermelha.

5.11.6.5 Os trechos das tubulações do sistema, que passam em dutos verticais ou horizontais e que sejam visíveis através da porta de inspeção, devem ser em cor vermelha.

5.11.6.6 Opcionalmente a tubulação aparente do sistema pode ser pintada em outras cores, desde que identificada com anéis vermelhos com 0,20 m de largura e dispostos, no máximo, a 3m um do outro, exceto para edificações dos grupos G, I, J, L e M da Tabela 1 da IT 01 – Parte I.

5.11.6.7 As tubulações destinadas à alimentação dos hidrantes e de mangotinhos não podem passar pelos poços de elevadores e/ou dutos de ventilação.

5.11.6.8 Todo material previsto ou instalado deve ser capaz de resistir ao efeito do calor e aos esforços mecânicos, mantendo seu funcionamento normal.

5.11.6.8.1 Recomenda-se que, no caso de emprego de tubulações em anel, em edificações térreas destinadas às edificações dos grupos I e J, sejam instaladas na parte externadas edificações, de modo que sejam protegidas contra a ação do calor.

5.11.6.9 O meio de ligação entre os tubos, conexões e acessórios diversos deve garantir a estanqueidade e a estabilidade mecânica da junta e não deve sofrer comprometimento de desempenho, se for exposto ao fogo.

5.11.6.10 A tubulação deve ser fixada nos elementos estruturais da edificação por meio de suportes metálicos, rígidos e espaçados a, no máximo, 4m, de modo que cada ponto de fixação resista a cinco vezes amassa do tubo cheio de água, somada à carga de 100 Kg.

5.11.6.11 Os materiais termoplásticos, na forma de tubos e conexões, somente devem ser utilizados enterrados a 0,50 m e fora da projeção da planta da edificação satisfazendo a todos os requisitos de resistência à pressão interna e a esforços mecânicos necessários ao funcionamento da instalação.

5.11.6.12 A tubulação enterrada, com tipo de acoplamento ponta e bolsa, deve ser provida de blocos de ancoragem nas mudanças de direção e abraçadeiras com tirantes nos acoplamentos.

5.11.6.13 As tubulações e conexões de polietileno de alta densidade (PEAD) devem ser empregados somente em trechos de tubulação enterrada.

5.11.7 Instrumentos do sistema

5.11.7.1 Os instrumentos devem ser adequados ao trabalho a que se destinam, pelas suas características e localização no sistema, sendo especificados pelo projetista.

5.11.7.2 A pressão de acionamento a que podem estar submetidos os pressostatos corresponde a, no máximo, 70% da sua maior pressão de funcionamento.

5.11.7.3 A chave de nível deve ser utilizada em tanque de escorva, para garantia do nível de água e pode ser utilizada no reservatório de água somente para supervisionar seu nível. Tal dispositivo deve ser capaz de operar normalmente após longos períodos de repouso ou falta de uso (ver B.1.6).

5.12 Considerações gerais

5.12.1 O dimensionamento do sistema de hidrantes e reserva de incêndio destinados a túneis deverá atender aos critérios de dimensionamento especificados na IT-37

5.12.2 A proteção por sistemas de hidrantes para as áreas de risco destinadas a parques de tanques ou tanques isolados deve atender à IT 25 – Segurança contra incêndio para líquidos combustíveis e inflamáveis, respeitando suas aplicações.

5.12.3 O dimensionamento do sistema de hidrantes, de acordo com o item 5.8, deve seguir os parâmetros definidos pela tabela3, conforme a respectiva ocupação.

5.12.4 Quando o conjunto do sistema hidráulico de combate a incêndio para hidrantes, resfriamento e espuma for único (bombas de incêndio e tubulações) sendo utilizado para atender às condições do item 5.8.5, as bombas de incêndio devem atender aos maiores valores de pressão e de vazão dos cálculos obtidos, considerando a não simultaneidade de eventos.

5.12.5 Nas áreas de edificações, tais como tanque ou parque de tanques, onde seja necessária a proteção por sistemas de resfriamento e de proteção por espuma, a rede de hidrantes pode possuir uma bomba de pressurização para completar a altura manométrica necessária, desde que alimentada por fonte alternativa de energia.

5.12.6 Para fins de dimensionamento da reserva de incêndio em sistema de hidrantes, de resfriamento ou de espuma, o volume da reserva do sistema de hidrantes calculado para as condições do item 5.8.5 não deve ser somado ao volume da reserva de água dos demais sistemas, caso as áreas de risco, tais como tanques isolados ou parques de tanques, sejam separados das demais construções de acordo com a IT 25.

5.12.7 Estacionamentos de veículos localizados em áreas externas (cobertos ou não), bem como os localizados em áreas descobertas e sobre pavimentos ocupados, necessitam de proteção pelo sistema de hidrantes, podendo ser realizada com a utilização de até 60 m de mangueira de incêndio.

ANEXO B

Reservatórios

B.1. Geral

B.1.1 Quando o reservatório atender a outros abastecimentos, as tomadas de água desses devem ser instaladas de modo a garantir o volume que reserve a capacidade efetiva para o combate.

B.1.2 A capacidade efetiva do reservatório deve ser mantida permanentemente.

B.1.3 O reservatório deve ser construído em material que garanta a resistência ao fogo e resistência mecânica. Alternativamente o reservatório e a flange de conexão podem ser construído em outros materiais desde que instalados em área externa e compartimentada em relação à edificação ou área de risco, ou ainda, em área interna desde que atendidos os mesmos critérios do item C.1.4.

B.1.4 O reservatório pode ser uma piscina da edificação a ser protegida, desde que garantida a reserva efetiva permanentemente, por meio de uma declaração do responsável pelo uso.

B.1.5 O reservatório deve ser provido de sistemas de drenagem e ladrão convenientes dimensionados e independentes.

B.1.6 É recomendado que a reposição da capacidade efetiva seja efetuada à razão de 1 L/min por metro cúbico de reserva.

B.2. Reservatório elevado (ação da gravidade)

B.2.1 Quando o abastecimento é feito somente pela ação da gravidade, o reservatório elevado deve estar à altura suficiente para fornecer as vazões e pressões mínimas requeridas para cada sistema. Essa altura é considerada:

a. do fundo do reservatório (quando a adução for feita na parte inferior do reservatório) até os hidrantes ou mangotinhos mais desfavoráveis considerados no cálculo;

b. da face superior do tubo de adução (quando a adução for feita nas paredes laterais dos reservatórios) até os hidrantes ou mangotinhos mais desfavoráveis considerados no cálculo.

B.2.2 Quando a altura do reservatório elevado não for suficiente para fornecer as vazões e pressões requeridas, para os pontos dos hidrantes ou mangotinhos mais desfavoráveis considerados no cálculo, deve-se utilizar uma bomba de reforço, em sistema “by pass”, para garantir as pressões e vazões mínimas para aqueles pontos. A instalação desta bomba deve atender ao Anexo C e demais itens desta IT.

B.2.3 A tubulação de descida do reservatório elevado para abastecer os sistemas de hidrantes ou de mangotinhos deve ser provido de uma válvula de gaveta e uma válvula de retenção, considerando-se o sentido reservatório–sistema. A válvula de retenção deve ter passagem livre, sentido reservatório–sistema.

B.3. Reservatório ao nível do solo, semienterrado ou subterrâneo

B.3.1 Nestas condições, o abastecimento dos sistemas de hidrantes ou mangotinhos deve ser efetuado por meio de bombas fixas. B.3.2 O reservatório deve conter uma capacidade efetiva, como ponto de tomada da sucção da bomba principal localizado junto ao fundo deste, conforme ilustrado nas Figuras B.1 a B.3 e Tabela B.1.

B.3.3 Para o cálculo da capacidade efetiva, deve ser considerada como altura a distância entre o nível normal da água e o nível X da água, conforme as Figuras B.1 a B.3.

B.3.4 O nível X é calculado como o mais baixo nível, antes de ser criado um vórtice com a bomba principal em plena carga, e deve ser determinado pela dimensão A da Tabela B.1, abaixo:

B.3.5 Quando o tubo de sucção D for dotado de um dispositivo antivórtice, pode-se desconsiderar a dimensão A da Tabela B.1.

B.3.6 Não se deve utilizar o dispositivo antivórtice quando a captação no reservatório de incêndio ocorrer em posição horizontal, conforme exemplos das Figuras B.1 e B.2.

B.3.7 Sempre que possível, o reservatório deve dispor de um poço de sucção como demonstrado nas Figuras B.1 a B.3 e com as dimensões mínimas A e B da Tabela B.1, respeitando-se também as distâncias mínimas com relação ao diâmetro D do tubo de sucção.

B.3.8 Caso não seja previsto o poço de sucção, as dimensões mínimas A e B da Tabela B.1, ainda assim devem ser previstas, não se computando como reserva de incêndio e respeitando- se as dimensões mínimas com relação ao diâmetro D do tubo de sucção.

B.3.9 Como alternativa ao poço de sucção, pode-se prever a tubulação de tomada de água com bocal de entrada direcionado para o fundo do tanque (conforme a figura B.2) e nele instalado uma placa antivórtice; o bocal deve ter no mínimo o dobro do diâmetro da tubulação e distar, no mínimo, de 150 mm acima do fundo do tanque.

B.3.10 No caso de reservatório ao nível do solo, semienterrado ou subterrâneo, deve-se atender aos requisitos de B.1.1 a B.1.6.

B.3.11 O reservatório deve ser localizado, dentro do possível, em local de fácil acesso às viaturas do Corpo de Bombeiros Militar.

B.4. Fontes naturais (lagos, rios, açudes, lagoas)

B.4.1 Para esses casos, suas dimensões devem ser conforme as Figuras B.4 e B.6, e atendendo à Tabela B.2.

B.4.2 Nos casos das Figuras B.4 e B.6 a profundidade da água em canais abertos ou adufas (incluindo a adufa entre a câmara de decantação e a câmara de sucção), abaixo do menor nível de água conhecido de fonte, não deve ser inferior ao indicado na Tabela B.2, para as correspondentes larguras W e vazão Q.

B.4.3 A altura total dos canais abertos ou adufas deve ser tal que comporte o nível mais alto de água conhecido da fonte.

B.4.4 Cada bomba principal deve possuir uma câmara de sucção com respectiva câmara de decantação, independente.

B.4.5 As dimensões da câmara de sucção, a posição da tubulação de sucção da bomba principal em relação às paredes da câmara, a parte submersa da tubulação em relação ao menor nível de água conhecido e a sua distância em relação ao fundo, indicadas nas Figuras B.4 a B.6 são idênticas.

B.4.6 A câmara de decantação deve possuir a mesma largura e profundidade da câmara de sucção e o comprimento mínimo igual a 4,4 X √h, onde “h” é a profundidade da câmara de decantação. B.4.7 Antes de entrar na câmara de decantação, a água deve passar através de uma grade de arame ou uma placa de metal perfurada, localizada abaixo do nível de água e com uma área agregada de aberturas de, no mínimo, 15 cm² para cada dm³/min da vazão Q; a grade deve ser suficientemente resistente para suportar a pressão exercida pela água em caso de obstrução.

B.4.8 É recomendável que duas grades sejam previstas, sendo que enquanto uma delas se encontra em operação, a outra pode ser suspensa para limpeza.

B.4.9 Deve ser feita uma previsão para que as câmaras de sucção e de decantação possam ser isoladas periodicamente para a limpeza e manutenção.

B.4.10 Nos casos da Figura B.6 o conduto de alimentação deve possuir uma inclinação mínima constante de 0,8 %, no sentido da câmara de decantação, e um diâmetro que obedeça à seguinte equação:

D = 21,68 x Q 0.357

Onde:

D é o diâmetro interno do conduto, em milímetros; e

Q é a máxima vazão da bomba principal, em decímetros cúbicos por minuto.

B.4.11 Ainda nos casos da Figura B.6, a entrada do conduto de alimentação deve possuir um ralo submerso, no mínimo, um diâmetro abaixo do nível de água conhecido, para o açude, represa, rios, lagos ou lagoas; as aberturas do ralo citado devem impedir a passagem de uma esfera de 25 mm de diâmetro.

ANEXO C

Bombas de Incêndio

C.1 Geral

C.1.1 Quando o abastecimento é feito por bomba de incêndio, deve possuir pelo menos uma bomba elétrica ou de combustão interna, devendo ser utilizada para este fim.

C.1.1.1 Para o caso de reservatório ao nível do solo, semienterrado ou subterrâneo, ou quando a altura da linha do fundo da reserva técnica se situar abaixo de qualquer hidrante ou mangotinho, será exigida a instalação de bomba reserva nas mesmas características da bomba principal.

C.1.1.1.1 A bomba reserva deverá ser de combustão interna, com reserva de combustível suficiente para alimentar o sistema pelo período mínimo de duas horas, podendo ser substituída por bomba elétrica, desde que possua grupo motogerador automatizado que garanta o seu funcionamento por igual período.

C.1.2 As dimensões das casas de bombas devem ser tais que permitam acesso em toda volta das bombas de incêndio e espaço suficiente para qualquer serviço de manutenção local, nas bombas de incêndio e no painel de comando, inclusive viabilidade de remoção completa de qualquer das bombas de incêndio.

C.1.2.1 As casas de bombas quando estiverem em compartimento enterrado ou em barriletes, devem possuir acesso, no mínimo, por meio de escadas do tipo marinheiro, sendo que o barrilete deve possuir no mínimo 1,5 m de pé direito.

C.1.3 As bombas de incêndio devem ser utilizadas somente para este fim.

C.1.4 As bombas de incêndio devem ser protegidas contra danos mecânicos, intempéries, agentes químicos, fogo ou umidade.

C.1.5 As bombas principais devem ser diretamente acopladas por meio de luva elástica, sem interposição de correias e correntes, possuindo a montante uma válvula de paragem, e a jusante uma válvula de retenção e outra de paragem.

C.1.6 A automatização da bomba principal ou de reforço deve ser executada de maneira que, após a partida do motor seu desligamento seja somente manual no seu próprio painel de comando, localizado na casa de bombas.

C.1.7 Quando a(s) bomba(s) de incêndio for(em) automatizada(s), deve ser previsto pelo menos um ponto de acionamento manual para a(s) mesma(s), instalado em local seguro da edificação e que permita fácil acesso.

C.1.8 O funcionamento automático é indicado pela simples abertura de qualquer ponto de hidrante da instalação.

C.1.9 As bombas de incêndio devem atingir pleno regime em aproximadamente 30s após a sua partida.

C.1.10 As bombas de incêndio podem ser acionadas manualmente por meio de dispositivos instalados junto a cada hidrante ou mangotinho, desde que o número máximo de hidrantes ou mangotinhos com botoeiras não exceda seis pontos. Para esses casos, as bombas reservas deverão possuir, pelo menos um ponto de acionamento manual, além do seu painel de comando, instalado em local seguro da edificação e de fácil acesso.

C.1.11 Excetuam-se do disposto em C.1.10 os casos em que a bomba de incêndio recalca água de reservatório elevado, ou seja, quando a rede de hidrantes ou mangotinhos estiver permanentemente cheia d’água.

C.1.12 As bombas de incêndio, preferencialmente, devem ser instaladas em condição de sucção positiva. Esta condição é conseguida quando a linha do eixo da bomba se situa abaixo do nível “X” de água. Admite-se que a linha de centro do eixo da bomba se situe 2 m acima do nível “X” de água, ou a 1/3 da capacidade efetiva do reservatório, o que for menor, acima do que é considerada condição de sucção negativa (ver Figura C.1).

C.1.13 A capacidade das bombas principais, em vazão e pressão, é suficiente para manter a demanda do sistema de hidrantes e mangotinhos, de acordo com os critérios adotados.

C.1.14 Não é recomendada a instalação de bombas de incêndio com pressões superiores a 100 mca (1 MPa).

C.1.15 Quando o sistema de hidrantes ou de mangotinhos dispuser de mais de seis saídas, a fim de manter a rede devidamente pressurizada em uma faixa preestabelecida e, para compensar pequenas perdas de pressão, uma bomba de pressurização (jockey) deve ser instalada; tal bomba deve ter vazão máxima de 20 L/min. Fica dispensada a instalação de bomba de pressurização (jockey) quando o reservatório de incêndio for elevado, independentemente da quantidade de saídas de hidrantes ou mangotinhos.

C.1.15.1 A pressão máxima de operação da bomba de pressurização (jockey) instalada no sistema deve ser igual à pressão da bomba principal, medida sem vazão (shut-off). Recomenda-se que o diferencial de pressão entre os acionamentos sequenciais das bombas seja de aproximadamente 10 mca (100 kPa).

C.1.15.2 As automatizações da bomba de pressurização (jockey) para ligá-la e desligá-la automaticamente, bem como da bomba principal e da reserva para somente ligá-las automaticamente, devem ser feitas através de pressostatos instalados conforme apresentado na Figura C.2, e ligados nos painéis de comando e chaves de partida dos motores de cada bomba.

C.1.16 O painel de sinalização das bombas principal ou de reforço, elétrica ou de combustão interna, deve ser dotado de uma botoeira para ligar manualmente tais bombas, possuindo sinalização ótica e acústica, indicando pelo menos osseguintes eventos:

C.1.16.1 Bomba elétrica:

a. painel energizado;

b. bomba em funcionamento;

c. falta de fase;

d. falta de energia no comando da partida.

C.1.16.2 Bomba de combustão interna:

a. painel energizado;

b. bomba em funcionamento;

c. baixa carga da bateria;

d. chave na posição manual ou painel desligado.

C.1.17 As bombas principais e reservas devem ser dotadas de manômetro para determinação da pressão em sua descarga. Nos casos em que foram instaladas em condição de sucção negativa, devem também ser dotadas de manovacuômetro para determinação da pressão em sucção.

C.2 Bombas de incêndio acopladas a motores elétricos

C.2.1 As bombas de incêndio dos sistemas de hidrantes e de mangotinhos podem dispor de dispositivos para acionamento automático ou manual.

C.2.2 Quando o acionamento for manual devem ser previstas botoeiras do tipo “liga-desliga”, junto a cada hidrante ou mangotinho.

C.2.2.1 A tensão do circuito de comando da bomba nas botoeiras do tipo “liga-desliga” poderá ser transformada em 24V na saída do painel, caso seja utilizado o mesmo conduto do sistema de alarme de incêndio.

C.2.3 Nos casos em que houver necessidade de instalação de bomba de reforço, conforme especificado no item B.2.2, sendo a bomba de reforço acionada por botoeira do tipo “liga-desliga”, para os pontos de hidrantes ou mangotinhos que atendam as pressões e vazões mínimas requeridas em função da ação da gravidade, pode ser dispensado as botoeiras junto a estes hidrantes ou mangotinhos, devendo ser demonstrado nos cálculos hidráulicos e no detalhe isométrico da rede.

C.2.4 Os condutores elétricos das botoeiras devem ser protegidos contra danos físicos e mecânicos por meio de eletrodutos rígidos embutidos nas paredes, ou quando aparentes em eletrodutos metálicos, não devendo passar em áreas de risco.

C.2.5 As bombas de incêndio não podem ser instaladas em salas que contenham qualquer outro tipo de máquina ou motor, exceto quando estes últimos se destinem a sistemas de proteção e combate a incêndio que utilizem a água como agente de combate, podendo também, ser instaladas no mesmo compartimento as bombas de água para consumo da edificação.

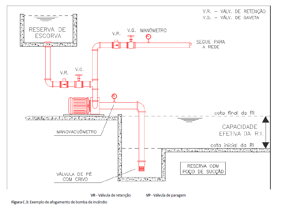
C.2.6 É permitida a instalação de bombas de incêndio com as sucções acima do nível de água para sistemas do tipo 1, 2 e 3,desde que atenda aos seguintes requisitos (ver Figura C.3):

a. ter a sua própria tubulação de sucção;

b. ter a válvula de pé com crivo no extremo da tubulação de sucção;

c. ter meios adequados que mantenham a tubulação de sucção sempre cheia de água;

d. o volume do reservatório de escorva e o diâmetro da tubulação que abastece a bomba de incêndio devem ser para sistemas do tipo 1, no mínimo, de 100 litros e diâmetro de 19 mm respectivamente e, para sistemas do tipo 2 e 3 no mínimo de 200 litros e diâmetro de 19 mm;

e. o reservatório de escorva deve ter seu abastecimento por outro reservatório elevado e possuir, de forma alternativa, abastecimento pela rede pública de água da concessionária local.

C.2.7 A alimentação elétrica das bombas de incêndio deve ser independente do consumo geral, de forma a permitir o desligamento geral da energia, sem prejuízo do funcionamento do motor da bomba de incêndio (ver Figura C.4).

C.2.8 Em empreendimentos alimentados em média tensão, onde exista a instalação de gerador de segurança, a alimentação do sistema pode ser feita antes da chave geral de baixa tensão da edificação, garantindo a alimentação da concessionária de modo exclusivo e redundância através do gerador de segurança.

C.2.9 Na falta de energia da concessionária, as bombas de incêndio acionadas por motor elétrico podem ser alimentadas por um gerador diesel, atendendo ao requisito de C.2.8.

C.2.10 A entrada de força para a edificação a ser protegida deve ser dimensionada para suportar o funcionamento das bombas de incêndio em conjunto com os demais componentes elétricos da edificação, a plena carga.

C.2.11 As chaves elétricas de alimentação das bombas de incêndio devem ser sinalizadas com a inscrição “ALIMENTA- ÇÃO DA BOMBA DE INCÊNDIO – NÃO DESLIGUE”.

C.2.12 Os fios elétricos de alimentação do motor das bombas de incêndio, quando dentro da área protegida pelo sistema de hidrantes devem ser protegidos contra danos mecânicos e químicos, fogo e umidade.

C.2.13 Nos casos em que a bomba de reforço, conforme especificado em B.2.2, for automatizada por chave de fluxo, a instalação pode ser conforme esquematizada na Figura C.6. C.2.14 A bomba de pressurização jockey pode ser sinalizada apenas com recurso ótico, indicando bomba em funcionamento.

C.2.15 Cada bomba principal ou de reforço deve possuir umaplaca de identificação com as seguintes características:

a. nome do fabricante;

b. número de série;

c. modelo da bomba;

d. vazão nominal;

e. pressão nominal;

f. rotações por minutos de regime;

g. diâmetro do rotor.

C.2.16 Os motores elétricos também devem ser caracterizados através de placa de identificação, exibindo:

a. nome do fabricante;

b. tipo;

c. modelo; d. número de série;

e. potência, em cavalo-vapor (CV);

f. rotações por minuto sob a tensão nominal;

g. tensão de entrada, em Volts (V);

h. corrente de funcionamento, em Ampér (A);

i. frequência, em Hertz (Hz).

C.2.17 O painel de comando para proteção e partida automática do motor da bomba de incêndio deve ser selecionado de acordo com a potência em CV do motor.

C.2.18 A partida do motor elétrico deve estar de acordo com as recomendações da NBR 5410 ou da concessionária local. C.2.18.1 O sistema de partida deve ser do tipo magnético. C.2.18.2 O período de aceleração do motor não deve exceder 10 s.

C.2.18.3 O painel deve ser localizado o mais próximo possível do motor da bomba de incêndio e convenientemente protegido contra respingos de água e penetração de poeira.

C.2.18.4 O painel deve ser fornecido com os desenhos dimensionais, leiaute, diagrama elétrico, régua de bornes, diagrama elétrico interno e listagem dos materiais aplicados.

C.2.18.5 Todos os fios devem ser anilhados, de acordo com o diagrama elétrico correspondente.

C.2.18.6 O alarme acústico do painel deve ser tal que, uma vez cancelado por botão de impulso, volte a funcionar normalmente quando surgir um novo evento.

C.2.18.7 As bombas de incêndio com vazão nominal acima de 600 l/min devem dispor de um fluxo contínuo de água por meio de uma tubulação de 6 mm ou placa de orifício de 6 mm, derivada da voluta da bomba e com retorno preferencialmente para o reservatório ou tanque de escorva (ver Figura C.7), a fim de se evitar o superaquecimento das mesmas.

C.3 Bombas acopladas a motores de combustão interna

C.3.1 O motor a combustão deve ser instalado em ambiente cuja temperatura não seja, em qualquer hipótese, inferior à mínima recomendada pelo fabricante, ou dotado de sistema de pré aquecimento permanentemente ligado.

C.3.1.1 São dotados de injeção direta de combustível por bomba injetora ou de ar comprimido, para a partida.

C.3.1.2 São dotados de sistema de arrefecimento por ar ou água, não sendo permitido o emprego de ar comprimido.

C.3.1.3 A aspiração de ar para combustão pode ser natural ou forçada (turbo).

C.3.1.4 Dispõe de controlador de rotação, o qual deve manter a rotação nominal, tolerada uma faixa de 10% seja qual for a carga.

C.3.1.5 Dispõe de meios de operação manual, de preferência no próprio motor, o qual volta sempre à posição normal.  

C.3.2 As bombas de incêndio devem ter condição de operar a plena carga, no local onde forem instaladas, durante 6 h ininterruptas, sem apresentar quaisquer avarias.

C.3.3 Os sistemas de refrigeração aceitáveis devem ser os descritos em C.3.3.1 a C.3.3.4.

C.3.3.1 A injeção direta de água, da bomba para o bloco do motor, de acordo com as especificações do fabricante. A saída de água de resfriamento deve passar, no mínimo, 15 cm acima do bloco do motor e terminar em um ponto onde possa ser observada sua descarga.

C.3.3.2 Por trocador de calor, vindo água fria diretamente da bomba específica para esse fim, com pressões limitadas pelo fabricante do motor. A saída de água do trocador também deve ser posicionada conforme C.3.3.1.

C.3.3.3 Por meio de radiador no próprio motor, sendo o ventilador acionado diretamente pelo motor ou por intermédio de correias, as quais devem ser múltiplas.

C.3.3.4 Por meio de ventoinhas ou ventilador, acionado diretamente pelo motor ou por correias, as quais devem ser múltiplas.

C.3.4 A entrada de ar para a combustão deve ser provida de um filtro adequado.

C.3.5 O escapamento dos gases do motor deve ser provido de silencioso, de acordo com as especificações do fabricante, sendo direcionados para serem expelidos fora da casa de bombas, sem chances de retornar ao seu interior.

C.3.6 O tanque de combustível do motor deve ser montado de acordo com as especificações do fabricante e deve conter um volume de combustível suficiente para manter o conjunto motobomba operando a plena carga durante o tempo de, no mínimo, duas vezes o tempo de funcionamento dos abasteci- mentos de água, para cada sistema existente na edificação. Deve ser instalada sob o tanque uma bacia de contenção com volume mínimo de uma vez e meia a capacidade do tanque de combustível.

C.3.7 Existindo mais de um motor a explosão, cada um deve ser dotado de seu próprio tanque de combustível, com suas respectivas tubulações de alimentação para bomba injetora. C.3.8 O motor a explosão deve possuir uma placa de identificação com as seguintes características:

a. nome do fabricante;

b. tipo;

c. modelo;

d. número de série;

e. potência em CV, considerando o regime contínuo de funcionamento;

f. rotações por minuto nominal.

C.3.9 Um painel de comando deve ser instalado no interior da casa de bombas, indicando bomba em funcionamento e sistema automático desligado (chave seletora na posição manual). C.3.10 As baterias do motor a explosão, localizadas na casa de bombas, devem ser mantidas carregadas por um sistema de flutuação automática, por meio de um carregador duplo de baterias. O sistema de flutuação deve ser capaz de atender, independente, aos dois jogos de baterias (principal e reserva).

C.3.11 O sistema de flutuação automática deve ser capaz de carregar uma bateria descarregada em até 24 h, sem que haja danos às suas placas, determinando ainda, por meio de amperímetros e voltímetros, o estado de carga de cada jogo debaterias.

C.3.12 Nos casos em que houver apenas uma bomba de incêndio, por motor à explosão, o sistema de partida deve ser sempre automático.

ANEXO D

Abrigos de mangueiras e mangotinhos

D.1 Aspectos construtivos

D.1.1 O abrigo pode ser construído em alvenaria, em materiais metálicos, em fibra ou vidro laminado, ou de outro mate- rial a critério do projetista, desde que atendam os demais itens especificados, podendo ser pintados em qualquer cor, desde que sinalizados de acordo com a IT 20 – Sinalização de emergência.

D.1.2 O abrigo das mangueiras pode ter portas confeccionadas em material transparente.

D.1.3 O abrigo deve possuir apoio ou fixação própria, independente da tubulação que abastece o hidrante ou mangotinho.

D.1.4 O abrigo deve ter dimensões suficientes para acondicionar, com facilidade, as mangueiras e respectivos acessórios, permitindo rápido acesso e utilização de todo conteúdo, em caso de incêndio.

D.2 Uso e instalação

D.2.1 A válvula de hidrante e a botoeira de acionamento da bomba de incêndio podem ser instaladas dentro do abrigo desde que não impeçam a manobra dos seus componentes.

D.2.2 O abrigo de hidrante interno não deve ser instalado a mais de 5 m da porta de acesso da área a ser protegida. A válvula angular deve ser instalada neste intervalo, entre a porta e o abrigo, devendo estar em local visível e de fácil acesso. Deve-se adotar espaço suficiente para a manobra da válvula angular e conexão de mangueira(s).

D.2.3 A porta do abrigo deve estar situada em sua face mais larga.

D.2.4 A porta do abrigo pode ser lacrada para prevenir abertura indevida, desde que o lacre seja de fácil rompimento manual ou exista a possibilidade de alerta por monitoramento eletrônico.

D.2.5 Nas edificações do Grupo E, e nas edificações das Divisões F-4 e M-1, os abrigos poderão ser trancados com chaves-mestras disponíveis, respectivamente, na portaria e na secretaria escolar, e nas centrais de segurança e administração, bem como de posse dos seguranças locais.

D.2.6 Para as áreas destinadas a garagem, fabricação, depósitos e locais utilizados para movimentação de mercadorias, o abrigo de hidrante interno deve ser sinalizado no piso com um quadrado de 1m de lado, com borda de 15 cm, pintada na cor amarela fotoluminescente e, o quadrado interno de 70 cm, na cor vermelha.

D.2.7 O abrigo de hidrante interno deve ser disposto de modo a evitar que, em caso de sinistro, fique bloqueado pelo fogo.

D.2.8 O abrigo não deve ser instalado em frente a acessos de entrada e saída de: pedestres, garagens, estacionamentos, rampas, escadas e seus patamares.

D.3 Arrumação interna

Cada abrigo deve dispor, no mínimo, dos equipamentos indicados nas Tabelas 2 e 4.

D.4 Abrigo de mangotinhos

D.4.1 Quando os mangotinhos forem abrigados em caixas de incêndio, estas devem atender às mesmas condições estabelecidas para as caixas de hidrantes, devendo ter as dimensões necessárias para abrigar o carretel axial.

D.4.2 O mangotinho externo à edificação deve ser instalado em abrigo apropriado, devidamente sinalizado.

ANEXO E

Casos de isenção de sistema fixo de hidrantes e mangotinhos

 

E.1 Podem ser considerados casos de isenção de sistema de hidrantes e mangotinhos as áreas das edificações com as seguintes ocupações:

E.1.1 Áreas exclusivamente destinadas a processos industriais com carga de incêndio igual ou inferior a 200 MJ/m².

E.1.2 Depósitos de materiais, desde que a carga de incêndio, calculada de acordo com a IT 14, não ultrapasse 100 MJ/m².

E.1.3 Ginásios poliesportivos e piscinas cobertas (divisão F-3),desde que não utilizados para outros eventos que não sejam atividades esportivas e desde que as áreas de apoio não ultrapassem 930 m²;

E.1.4 Áreas de processos industriais com altos fornos onde o emprego de água seja desaconselhável;

E.1.5 Edificações da divisão H-4, desde que:

a) sejam ocupadas, em regime integral ou sob escala, por efetivo com formação técnica específica em prevenção e combate a incêndio e salvamento, com carga horária mínima de 900 horas-aula;

b) possuam viatura de combate a incêndio, permanentemente disponível, equipada com mangueiras apropriadas e esguichos reguláveis, com capacidade hídrica mínima de 4.500 litros e bomba com vazão de, no mínimo, 2.500 l/min, ou parâmetros técnicos equivalentes, possuindo capacidade operacional compatível com a área protegida.

E.1.5.1 Esta isenção não se aplica a edificações H-4 que contenham área de hangar, paiol ou depósito de combustíveis.

E.2 Pode ser isenta a instalação de pontos de hidrante ou de mangotinho em edículas, mezaninos, escritórios em andar superior, porão e subsolo de até 200 m² ou nos pavimentos superiores de apartamentos “duplex” ou “triplex”, desde que o caminhamento máximo adotado seja o comprimento estabelecido na Tabela 2 desta IT, e que o hidrante ou mangotinho do pavimento mais próximo assegure sua proteção e o acesso aos locais citados não seja por meio de escada enclausurada.

E.2.1 Ficam isentos os casos de mezaninos sobrepostos no mesmo pavimento em que a soma das áreas desses mezaninos não atinja 200 m², desde que, além de cumpridas as condições do item E.2, esses mezaninos não sejam fechados lateralmente por parede em, ao menos, 01 (uma) de suas laterais, mas sim por guarda-corpo, de forma que o combate a eventual foco de incêndio não necessariamente precise ser feito pelas escadas.

E.3 Fica isenta a instalação de pontos de hidrante ou de mangotinho em zeladorias, localizadas nas coberturas de edifícios, com área inferior a 70 m², desde que o caminhamento máximo do hidrante ou mangotinho seja o estabelecido na Tabela 2 desta IT e o hidrante ou mangotinho do pavimento inferior assegure sua proteção.